back arrow forward arrow

The accumulation of carbon dioxide in the ocean has led to ocean acidification. This term describes the movement of ocean pH from a slightly basic pH to a more acidic pH, just like the water in the experiment on the previous page. Surface ocean pH has dropped from a pre-industrial value of 8.2 to the current value of 8.1. This is about a 25% increase in hydronium ion concentration [H3O+(aq)]. Models suggest that the average surface ocean pH will drop to 7.8 by the end of this century - a 150% increase in [H3O+(aq)] from pre-industrial values.

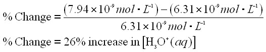
Worked Example

Question: How does a pH change from 8.2 (pre-industrial) to 8.1 (current) translate into a 25% increase in hydronium ion concentration?

Use the pH Calculator learning tool to help you distinguish between logarithmic measurements, such as pH and [H3O+(aq)], and linear measurements.

A 25% increase in acidity comes from taking the ratio of the [H3O+(aq)] before and after industrial influence.

A pH of 8.2 translates into a [H3O+(aq)] of 6.31 x 10-9 mol L-1, whereas a pH of 8.1 translates into a [H3O+(aq)] of 7.94 x 10-9 mol L-1.

Using a formula to evaluate percent change, we find:

Since the pH scale is logarithmic, a solution of pH 1.0 has a [H3O+(aq)] that is 10 times higher than a solution with a pH of 2.0, and a hundred times higher than the concentration of a solution with a pH of 3.0. By definition, acidic solutions have a pH lower than 7, whereas basic solutions have a pH higher than 7. At a pH of 8.1, the surface of the ocean is still basic, but the pH is shifting slightly toward the acidic side, hence the term "Ocean Acidification".

For questions or concerns, please email us at kcvs@kingsu.ca.
Content subject to KCVS terms of use.
Click here to see our land acknowledgement.
© The King's Centre for Visualization in Science.